Ответы
Ответ дал:
0
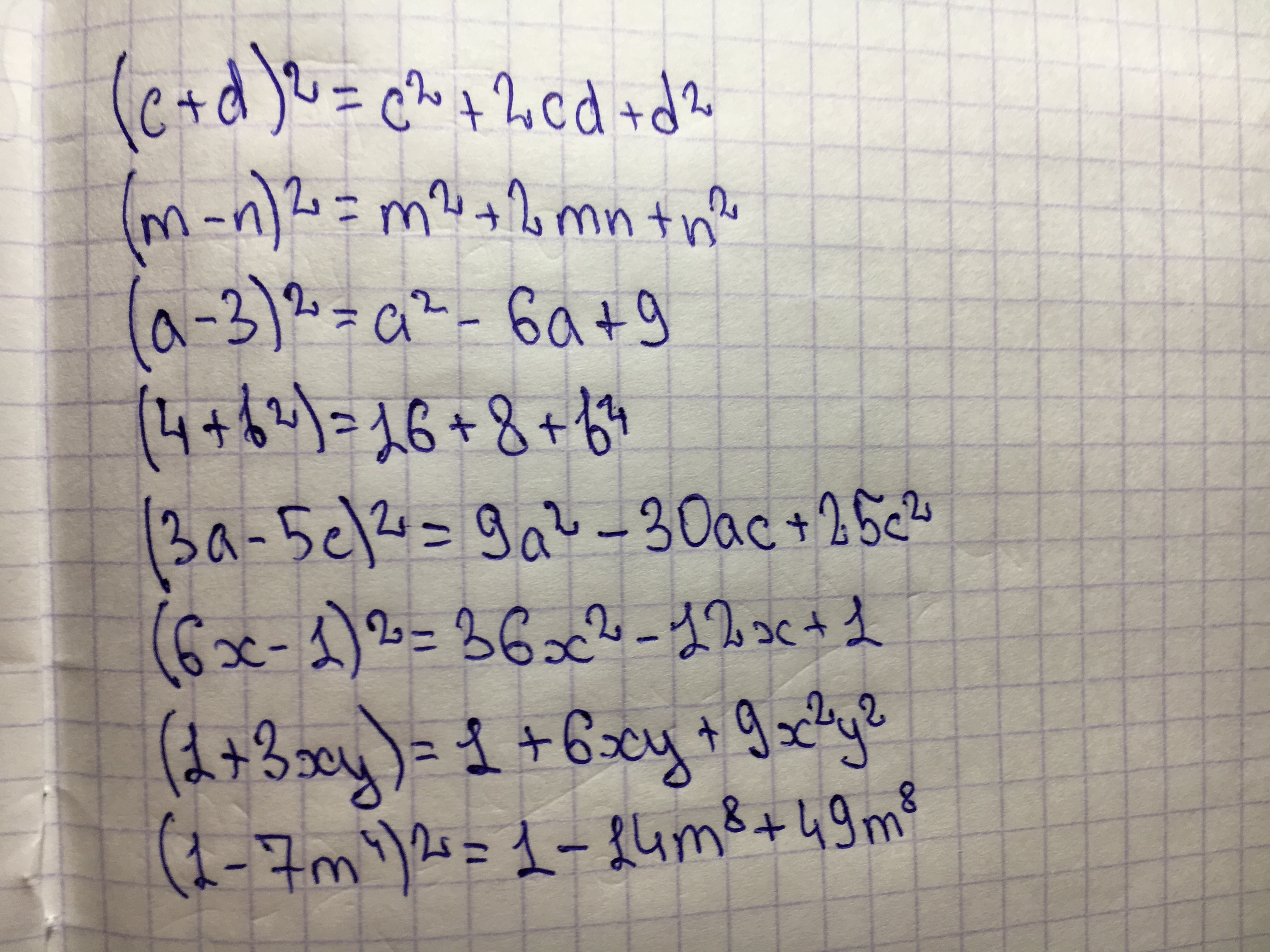
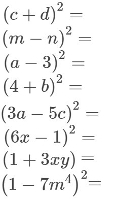
Если я правильно поняла задание, то вот так?
Потому что по-другому как-то даже и не знаю, как сделать...
Потому что по-другому как-то даже и не знаю, как сделать...
Приложения:

Вас заинтересует
2 года назад
2 года назад
7 лет назад
7 лет назад
9 лет назад
9 лет назад
10 лет назад
10 лет назад