Ответы
Ответ дал:
0
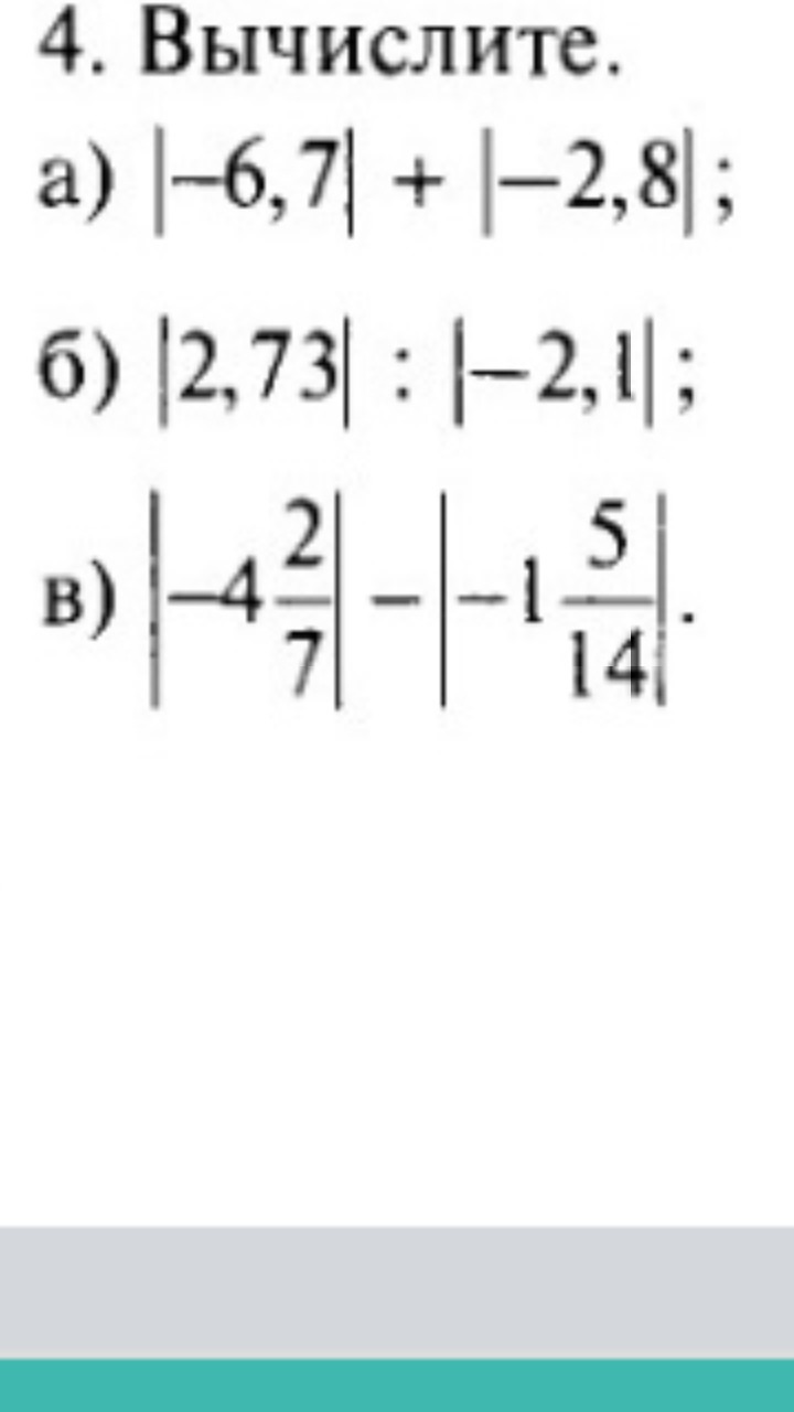
вообщем это примеры легкие потомучто главное знать как раскрываются модули)))
Приложения:

Вас заинтересует
2 года назад
7 лет назад
7 лет назад
9 лет назад
9 лет назад
10 лет назад
10 лет назад