• Предмет: Математика
  • Автор: rokshok05
  • Вопрос задан 9 лет назад

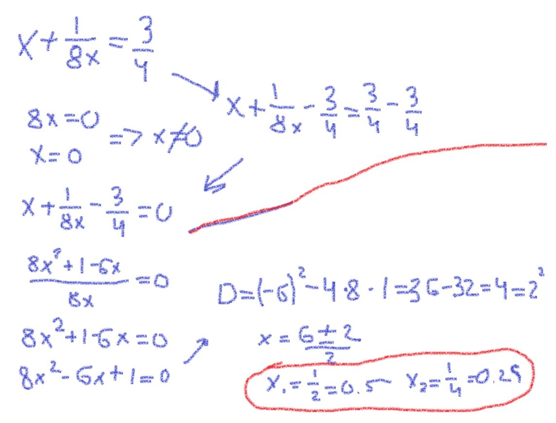
объясните с разъяснение x+1/8x=3/4?

Ответы

Ответ дал: Kixcertborn2
0
Задание решено!!!!Ответ во вложении!!
Приложения:
Вас заинтересует