• Предмет: Математика
  • Автор: Аноним
  • Вопрос задан 9 лет назад

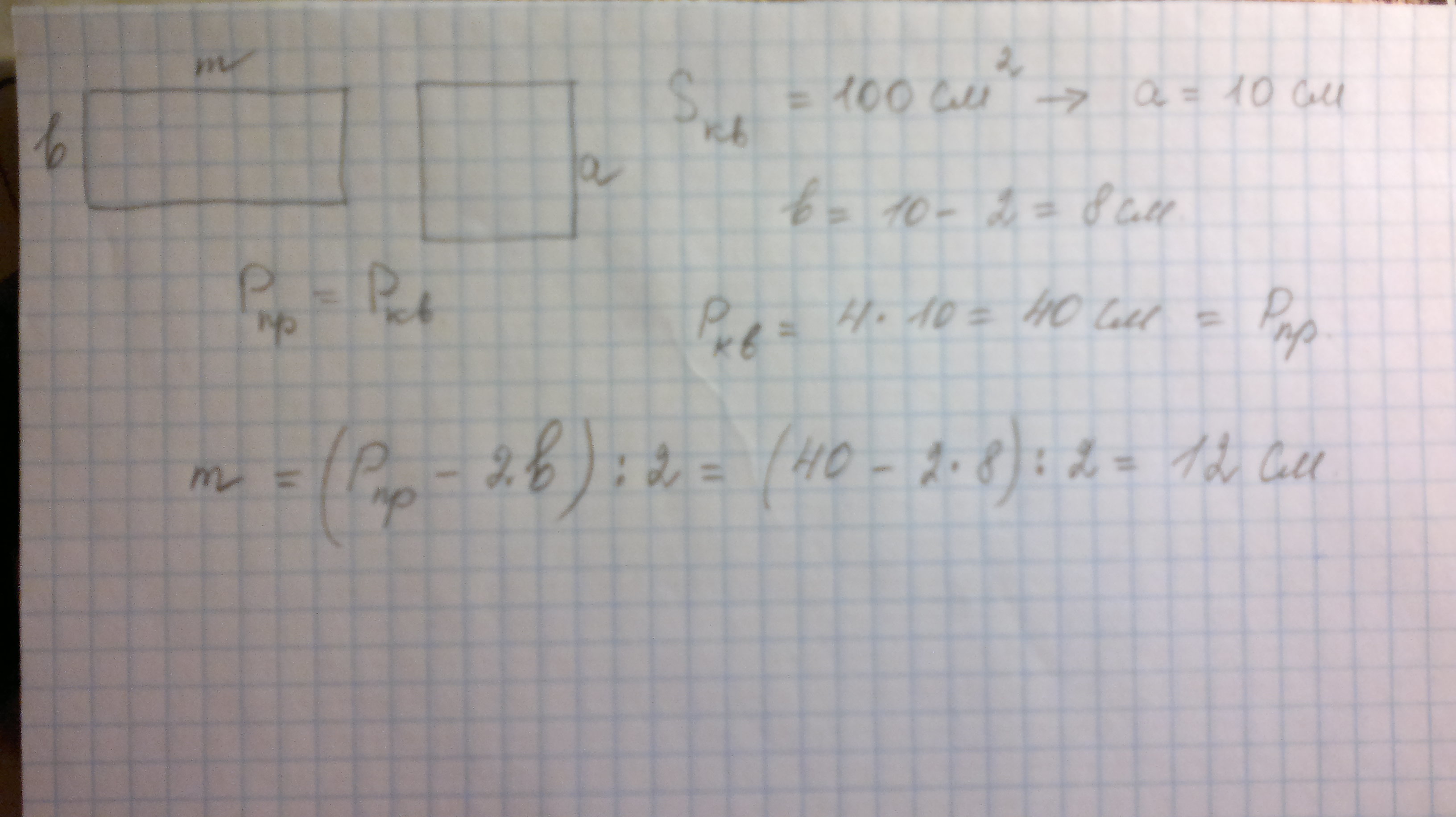
периметр прямо угольник равна периметру квадрата ,площадь которого равна 100 см в квадрате . Ширина прямо угольника на 2 см меньше стороны квадрата . Найди длину прямо угольника

Ответы

Ответ дал: ytekjdbvsq
0
Пишите, если что не так.
Приложения:
Вас заинтересует