• Предмет: Алгебра
  • Автор: trufanov99
  • Вопрос задан 9 лет назад

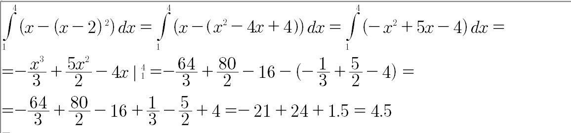
найдите площадь фигуры,ограниченой линиями:параболой y=(x-2)^2,прямой y=x, и осью Ox

Ответы

Ответ дал: ShirokovP
0
см фото
===================================
Приложения:
Вас заинтересует