Ответы
Ответ дал:
0
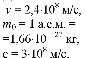
Дано:
Найти - m
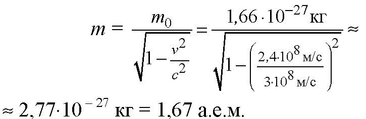
Решение:
Найти - m
Решение:
Приложения:


Вас заинтересует
2 года назад
2 года назад
7 лет назад
7 лет назад
9 лет назад
9 лет назад
10 лет назад