• Предмет: Математика
  • Автор: german669
  • Вопрос задан 9 лет назад

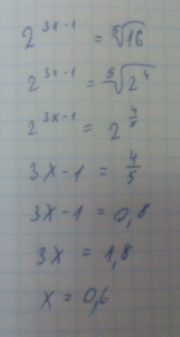
2^(3x-1)<=корень в степени 5 и √16

Ответы

Ответ дал: OPetroW
0
Решил на фотографии))
Приложения:
Ответ дал: german669
0
спасибо большое
Вас заинтересует