Ответы
Ответ дал:
0
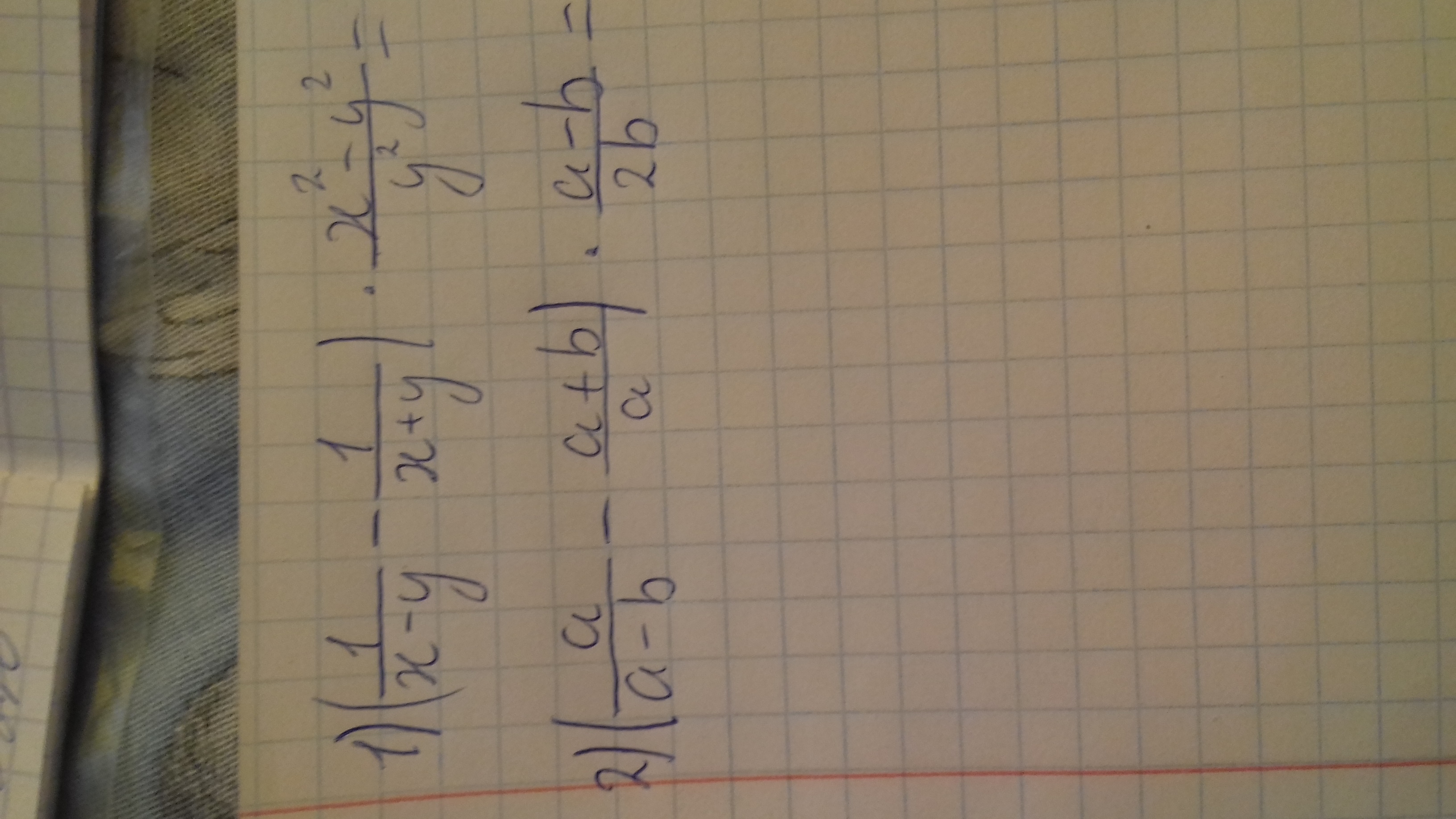
Первым действием
Я привожу выражения в скобочках к общему знаменателю
Далее раскрываю скобочки
И просто провожу сокращение
Я привожу выражения в скобочках к общему знаменателю
Далее раскрываю скобочки
И просто провожу сокращение
Приложения:
Вас заинтересует
3 года назад
3 года назад
7 лет назад
10 лет назад
10 лет назад
10 лет назад
10 лет назад