Ответы
Ответ дал:
0
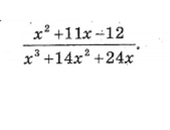
1)х²+11x-12=0
D=121+48=169>0
х1=(-11+13)/2=2/2=1
х2=(-11-13)/2=-24/2=-12
х²+11x-12= (х-1)(х+12)
2)х³+14х²+24х=0
x(х²+14х+24)=0
х1=0 или х²+14х+24=0
х²+14х+24=0
D=196-96=100>0
x2=(-14+10)/2=-4/2=-2
х3=(-14-10)/2=-24/2=-12
х³+14х²+24х=x(x+2)(x+12)
3)(x-1)(x+12)/x(x+2)(x+12) cокращаем х+12, получаем:
х-1/х(х+2)= х-1/х²-2х
Ответ: х-1/х²-2х.
D=121+48=169>0
х1=(-11+13)/2=2/2=1
х2=(-11-13)/2=-24/2=-12
х²+11x-12= (х-1)(х+12)
2)х³+14х²+24х=0
x(х²+14х+24)=0
х1=0 или х²+14х+24=0
х²+14х+24=0
D=196-96=100>0
x2=(-14+10)/2=-4/2=-2
х3=(-14-10)/2=-24/2=-12
х³+14х²+24х=x(x+2)(x+12)
3)(x-1)(x+12)/x(x+2)(x+12) cокращаем х+12, получаем:
х-1/х(х+2)= х-1/х²-2х
Ответ: х-1/х²-2х.
Вас заинтересует
2 года назад
7 лет назад
7 лет назад
10 лет назад
10 лет назад