• Предмет: Алгебра
  • Автор: yuraseven77
  • Вопрос задан 9 лет назад

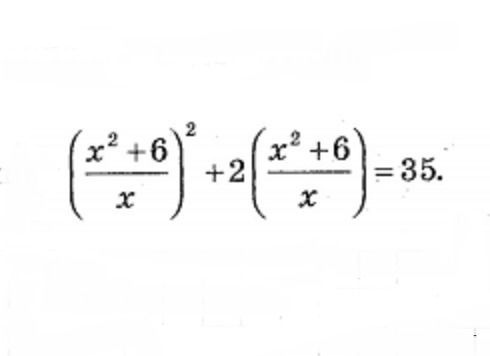
Решить уравнение (см. рисунок)

Приложения:

Ответы

Ответ дал: ВладимирБ
0
Решение смотри на фото
Приложения:
Вас заинтересует