• Предмет: Алгебра
  • Автор: Blekki
  • Вопрос задан 9 лет назад

Задание на сочетания и размещения. Пожалуйста, помогите решить!
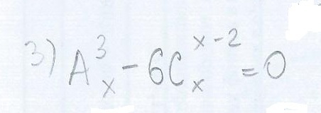
Само задание в прикреплённом файле

Приложения:

Ответы

Ответ дал: ProGroomer
0
A_x^3-6C_x^{x-2}={x!over (x-3)!}-{6x!over (x-2)!2!}=x(x-1)(x-2-3)=0\x_1=0, xgeq2\x_2=1, xgeq2\x_3=5
Вас заинтересует