• Предмет: Алгебра
  • Автор: priwalow02
  • Вопрос задан 9 лет назад

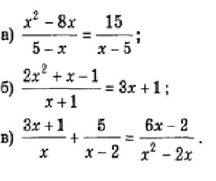
Помогите, пожалуйста, решить:

Приложения:

Ответа на этот вопрос пока нет. Попробуйте найти его через форму поиска.

Вас заинтересует