Ответы
Ответ дал:
0
х^2-4х+5=(х-2)^2+1 это значит что график х^2 надо сместить вправо на 2 и вверх на 1
2х-4>0 при х>2 производная положительна, возрастает функция
вся функция больше нуля, она все положительна
наименьшее значение там где производная равна 0 => при х=2 это 1
2х-4>0 при х>2 производная положительна, возрастает функция
вся функция больше нуля, она все положительна
наименьшее значение там где производная равна 0 => при х=2 это 1
Ответ дал:
0
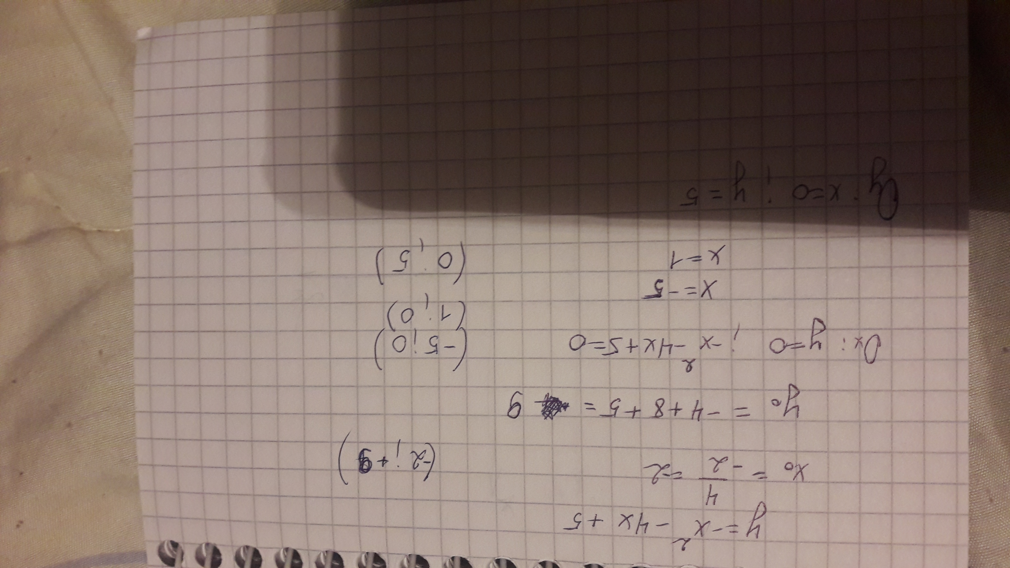
Смотри решение во вложении.
Приложения:
Вас заинтересует
2 года назад
7 лет назад
10 лет назад
10 лет назад