Ответы
Ответ дал:
0
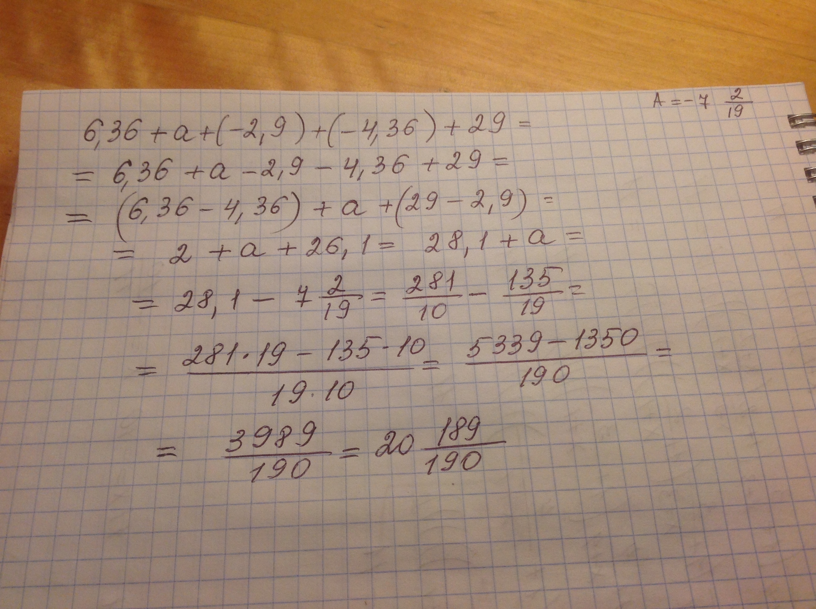
6,36+а+(-2,9)+(-4,36)+29= 6,36+a-2,9-4,36+29= a+28,1
А=-7 2/19
-7 2/19+28,1= -135/19+ 28 1/10= -135/19+281/10= -1350/190+5339/190= 3989/190= 20 189/190
А=-7 2/19
-7 2/19+28,1= -135/19+ 28 1/10= -135/19+281/10= -1350/190+5339/190= 3989/190= 20 189/190
Ответ дал:
0
спасибо
Ответ дал:
0
Решение смотри на фото
Приложения:

Вас заинтересует
2 года назад
2 года назад
7 лет назад
9 лет назад
9 лет назад
10 лет назад