• Предмет: Математика
  • Автор: OPVZSaratov
  • Вопрос задан 9 лет назад

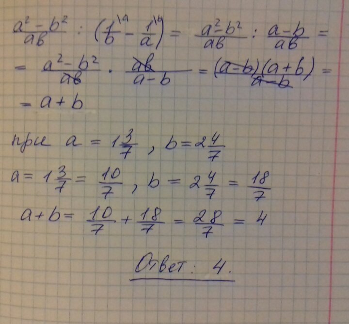
Найдите значение выражения : a^2-b^2/ab : (1/b-1/a) при a = 1 3/7 и b =2 4/7

Ответы

Ответ дал: Shantess
0
Смотри решение во вложении. 
Приложения:
Вас заинтересует