После спуска лыжник сразу попадает на участок подъема в гору, при этом начальная скорость движения лыжника 35 км в час, коэффициент трения скольжения между лыжами и снегом 0,05. Определите угол наклона горного подъема если лыжник прокатился на лыжах до полной остановки 110 м, потерями энергии на сопротивление воздуха пренебречь, ускорение свободного падения равно 9.8 метров в секунду квадрате.
Ответы
Ответ дал:
0
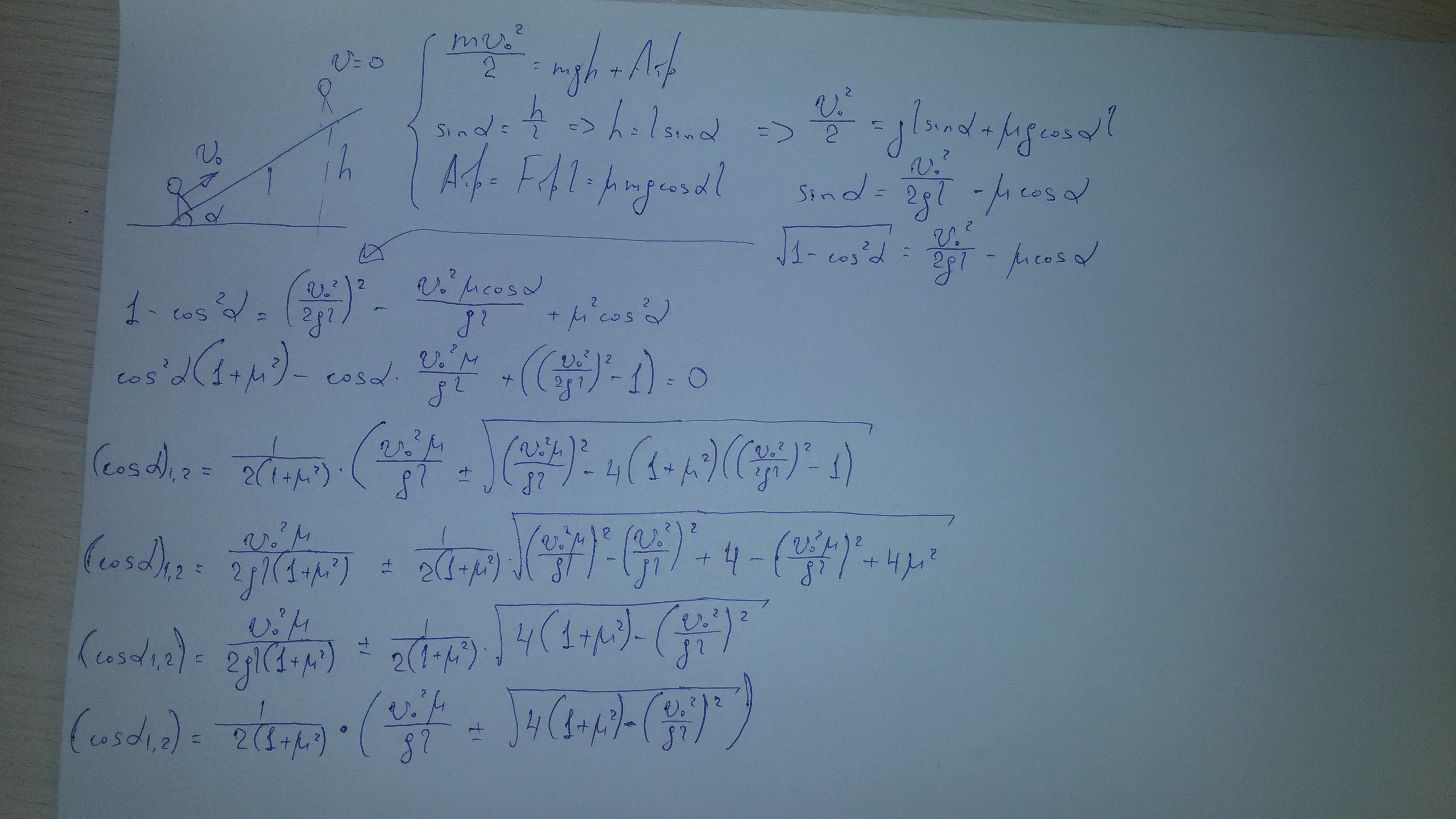
решение в приложении
cosα1 = (1/(2*(1+0.05^(2))))*((((35/3.6)^(2)*0.05)/(9.8*110)) + sqrt(4*(1+0.05^(2))-((35/3.6)^(2)/(9.8*110))^(2))) ≈ 0.99998104018
cosα2 = (1/(2*(1+0.05^(2))))*((((35/3.6)^(2)*0.05)/(9.8*110)) - sqrt(4*(1+0.05^(2))-((35/3.6)^(2)/(9.8*110))^(2))) ≈ -0.99560785418
второй корень не подходит
cosα1 = (1/(2*(1+0.05^(2))))*((((35/3.6)^(2)*0.05)/(9.8*110)) + sqrt(4*(1+0.05^(2))-((35/3.6)^(2)/(9.8*110))^(2))) ≈ 0.99998104018
cosα2 = (1/(2*(1+0.05^(2))))*((((35/3.6)^(2)*0.05)/(9.8*110)) - sqrt(4*(1+0.05^(2))-((35/3.6)^(2)/(9.8*110))^(2))) ≈ -0.99560785418
второй корень не подходит
Приложения:
Ответ дал:
0
сохраню:
Ответ дал:
0
больше половины опять нет из-за того, что случайно кликнул не туда
Ответ дал:
0
к черту, Карл
Вас заинтересует
2 года назад
7 лет назад
7 лет назад
10 лет назад
10 лет назад
10 лет назад