Ответы
Ответ дал:
0
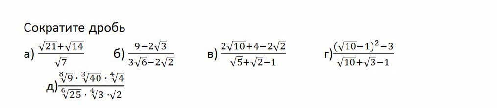
√21+√14 √(7*3)+√(7*2) √7(√3+√2)
--------------- = ------------------ = ----------------- =√3 +√2
√7 √7 √7
9-2√3 √3(3√3 - 2) √3(3√3 - 2) √3
------------- = ------------------------- = ------------------- = ----------
3√6-2√2 3√2*√3 -2√2 √2(3√3 - 2) √2
2√10 +4- 2√2 2*√2*√5 +2*√2*√2 -2√2 2√2*(√5+√2-1)
------------------- = --------------------------------------- = --------------------------- = 2√2
√5+ √2 -1 √5+√2 -1 √5+√2 -1
(√10 -1)²-3 (√10-1-√3)*(√10-1+√3)
------------------ = ------------------------------- = √10-1-√3
√10+√3-1 √10+√3-1
⁸√9* ∛40* ⁴√4 ⁸√3²* ∛8* ∛5* ⁴√2² ⁴√3 * ∛2³ * ∛5*√2
--------------------- = ------------------------------ = -----------------------------------= 2
⁶√25 *⁴√3 *√2 ⁶√5² * ⁴√3 *√2 ³√5* ⁴√3 *√2
--------------- = ------------------ = ----------------- =√3 +√2
√7 √7 √7
9-2√3 √3(3√3 - 2) √3(3√3 - 2) √3
------------- = ------------------------- = ------------------- = ----------
3√6-2√2 3√2*√3 -2√2 √2(3√3 - 2) √2
2√10 +4- 2√2 2*√2*√5 +2*√2*√2 -2√2 2√2*(√5+√2-1)
------------------- = --------------------------------------- = --------------------------- = 2√2
√5+ √2 -1 √5+√2 -1 √5+√2 -1
(√10 -1)²-3 (√10-1-√3)*(√10-1+√3)
------------------ = ------------------------------- = √10-1-√3
√10+√3-1 √10+√3-1
⁸√9* ∛40* ⁴√4 ⁸√3²* ∛8* ∛5* ⁴√2² ⁴√3 * ∛2³ * ∛5*√2
--------------------- = ------------------------------ = -----------------------------------= 2
⁶√25 *⁴√3 *√2 ⁶√5² * ⁴√3 *√2 ³√5* ⁴√3 *√2
Вас заинтересует
2 года назад
2 года назад
7 лет назад
7 лет назад
10 лет назад
10 лет назад
10 лет назад