• Предмет: Алгебра
  • Автор: malinka2713
  • Вопрос задан 9 лет назад

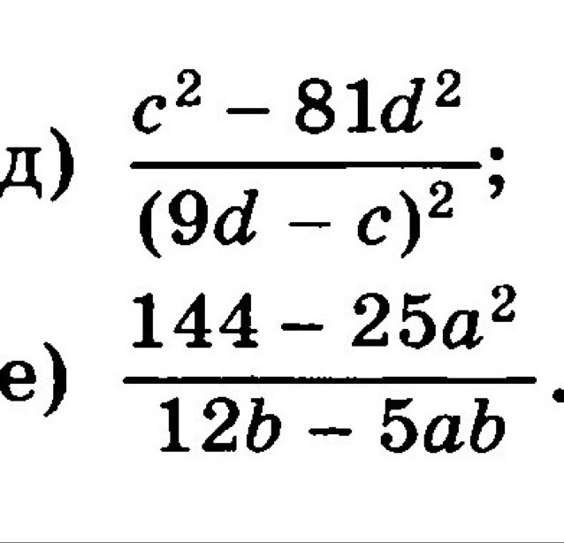
Ребят , умоляю , сократите дробь

Приложения:

Ответы

Ответ дал: гюйс
0
(c² -81d²)/(9d-c)²=((c-9d)(c+9d)) / ((9d-c)(9d-c))=(-(9d-c)(c+9d)) / ((9d-c)(9d-c))=-(c+9d)/(9d-c)

(144-25a²)/(12b-5ab)=((12-5a)(12+5a)) / (b(12-5a)) =(12+5a)/b
Вас заинтересует