• Предмет: Алгебра
  • Автор: alkatelonetouch1
  • Вопрос задан 9 лет назад

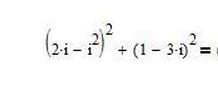
Тема "Комплексные числа" 11 класс. Решите, пожалуйста.

Приложения:

Ответы

Ответ дал: Эксперт5
0
(2i-i²)²+(1-3i)²= (2i)²-2*2i*i²+(i²)²+1²-2*1*3i+(3i)²=
=4(-1)-4i³+i⁴+1-6i+9(-1)=-4+4i+1+1-6i-9= -11-2i
Вас заинтересует