Ответы
Ответ дал:
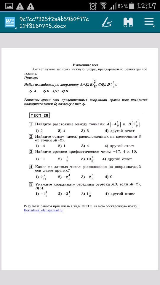
0
1-3
2-2
3-хз
4-3
5-хз
Все что смогла, тему эту толком не помню,т.к.давно было
2-2
3-хз
4-3
5-хз
Все что смогла, тему эту толком не помню,т.к.давно было
Вас заинтересует
2 года назад
7 лет назад
7 лет назад
10 лет назад
10 лет назад
10 лет назад