Ответы
Ответ дал:
0
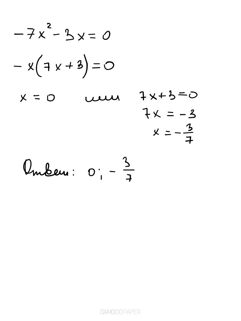
- 7x^2 - 3x = 0 /:(-1)
7x^2 + 3x = 0
x (7x+ 3) = 0
x = 0 ;
7x+ 3 = 0 ==> 7x = - 3 ==> x= - 3/7
7x^2 + 3x = 0
x (7x+ 3) = 0
x = 0 ;
7x+ 3 = 0 ==> 7x = - 3 ==> x= - 3/7
Ответ дал:
0
Решение данного уравнения
Приложения:

Вас заинтересует
2 года назад
2 года назад
7 лет назад
9 лет назад
9 лет назад
10 лет назад
10 лет назад