Ответы
Ответ дал:
0
3/4= 3:4=0,75.
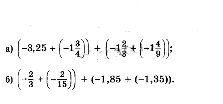
а)) {-3,25+( -1 3/4) }+ { -1 2/3+ (-1 4/9)}=
{ -3,25 - 1,75}+ { -1 2/3- 1 4/9}=
-{ 3,25+ 1,75} - {1 2/3+ 1 4/9}=
-5- { 1 (2•3)/(3•3) + 1 4/9}=
-5- {1 6/9+ 1 4/9}=
-5- 2 10/9= -5 -3 1/9= -(5+3 1/9)= -8 1/9.
Б)) {-2/3+ (-2/15)}+ {-1,85+ (-1,35)}=
{-2/3- 2/15}+ {-1,85- 1,35}= - {2/3+ 2/15} - {1,85+1,35}=
- {(2•5)/(3•5) + 2/15}- 3,2=
-{10/15+2/15}- 3,2= -12/15- 3,2=
[сокращаем 12/15 на 3]= - 4/5- 3,2 =
[превращаем в десятичные 4/5= 4:5= 0,8 ] =
-(4/5+ 3,2) = -{0,8+3,2}= - 4.
а)) {-3,25+( -1 3/4) }+ { -1 2/3+ (-1 4/9)}=
{ -3,25 - 1,75}+ { -1 2/3- 1 4/9}=
-{ 3,25+ 1,75} - {1 2/3+ 1 4/9}=
-5- { 1 (2•3)/(3•3) + 1 4/9}=
-5- {1 6/9+ 1 4/9}=
-5- 2 10/9= -5 -3 1/9= -(5+3 1/9)= -8 1/9.
Б)) {-2/3+ (-2/15)}+ {-1,85+ (-1,35)}=
{-2/3- 2/15}+ {-1,85- 1,35}= - {2/3+ 2/15} - {1,85+1,35}=
- {(2•5)/(3•5) + 2/15}- 3,2=
-{10/15+2/15}- 3,2= -12/15- 3,2=
[сокращаем 12/15 на 3]= - 4/5- 3,2 =
[превращаем в десятичные 4/5= 4:5= 0,8 ] =
-(4/5+ 3,2) = -{0,8+3,2}= - 4.
Ответ дал:
0
Что не понятно спрашивайте
Вас заинтересует
3 года назад
3 года назад
10 лет назад
10 лет назад
10 лет назад