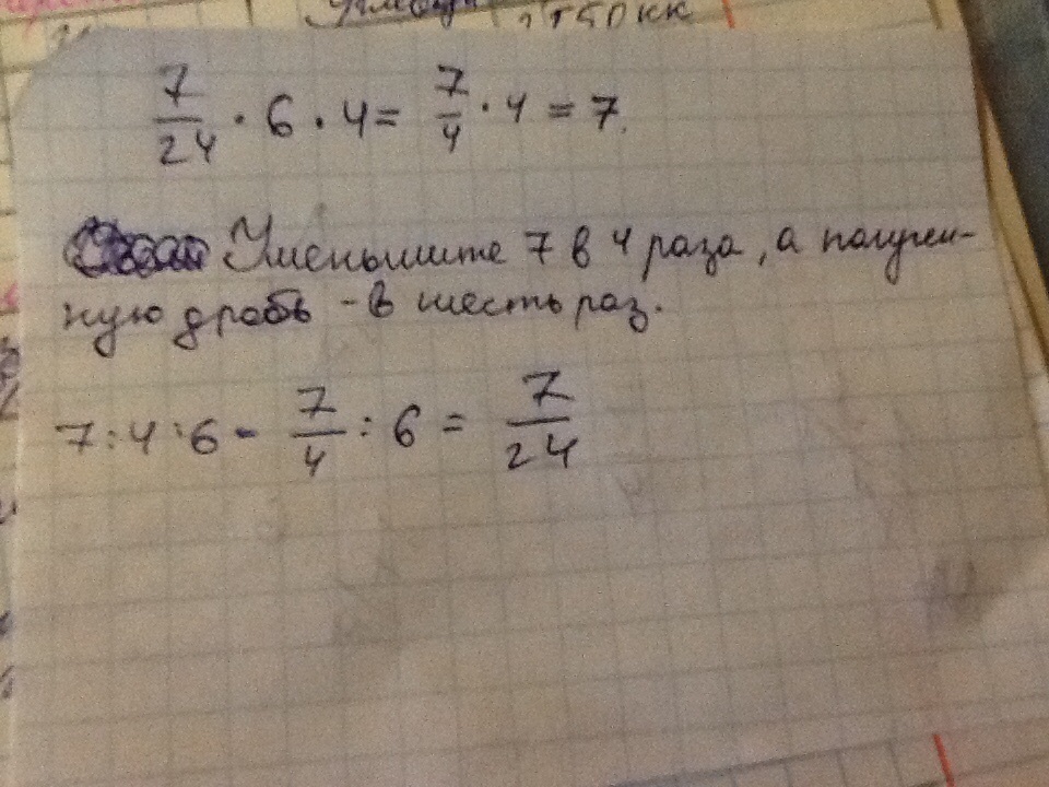
увеличьте дробь 7/24 в 6 раз а полученное произведение в 4 раза Составьте задание обратное данному и выполните его
Ответы
Ответ дал:
0
Задание. Уменьшить число 7 в 4 раза, а полученную дробь - в 6 раз.
Приложения:

Вас заинтересует
2 года назад
2 года назад
7 лет назад
7 лет назад
10 лет назад
10 лет назад