• Предмет: Алгебра
  • Автор: Rorymax
  • Вопрос задан 9 лет назад

Помогите с интегралом!

Приложения:

Ответы

Ответ дал: NNNLLL54
0
1); ; int  frac{dx}{2sinx+3cosx}=[; t=tgfrac{x}{2}; ,; sinx=frac{2t}{1+t^2}; ,; cosx=frac{1-t^2}{1+t^2} ; ,\\dx=frac{2, dt}{1+t^2}; ]=int  frac{2, dt}{(1+t^2)cdot (2cdot  frac{2t}{1+t^2}+3cdot frac{1-t^2}{1+t^2}) } =int  frac{2, dt}{4t+3-3t^2} =\\=-frac{2}{3}cdot int  frac{dt}{t^2-frac{4}{3}t-1} =- frac{2}{3} cdot int  frac{dt}{(t-frac{2}{3})^2-frac{4}{9}-1} =- frac{2}{3} cdot int frac{dt}{(t-frac{2}{3})^2-frac{13}{9}} =

=- frac{2}{3} cdot frac{1}{2cdot frac{sqrt{13}}{3}} cdot lnBig | frac{t-frac{2}{3}-frac{sqrt{13}}{3}}{t- frac{2}{3}+frac{sqrt{13}}{3} } Big |+C=-frac{1}{sqrt{13}}cdot lnBig | frac{3tgfrac{x}{2}-2-sqrt{13}}{3tgfrac{x}{2}-2+sqrt{13}} Big |+C

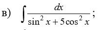
2); ; int  frac{dx}{sin^2x+5cos^2x} =Big [frac{:cos^2x}{:cos^2x}Big ]=int frac{frac{dx}{cos^2x}}{tg^2x+5} =int  frac{d(tgx)}{tg^2x+5} =[t=tgx]=\\=int  frac{dt}{t^2+5} =frac{1}{sqrt5}cdot arctgfrac{t}{sqrt5}+C= frac{1}{sqrt5}cdot  arctgfrac{tgx}{sqrt5} +C
Вас заинтересует