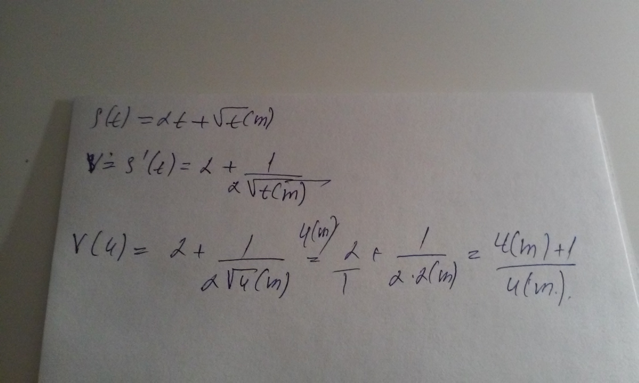
материальная точка движение прямолинейно по закону S(t)=2t+√t(m)найдите скорость точки в момент времени t=4c
Ответы
Ответ дал:
0
)))))))))))))))))))))))))))))))))))))))))))))))))))))))))))))))))))))))))))))))))))))))))))
Приложения:

Ответ дал:
0
спасибо
Вас заинтересует
2 года назад
7 лет назад
7 лет назад
9 лет назад
10 лет назад