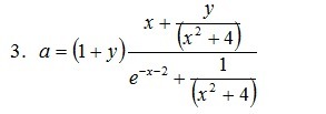
1. Напишіть алгоритм , використовуючи навчальну алгоритмічну мову, розв’язання задачі вашого варіанту.
Очень прошу помощи!!!
Приложения:

Ответы
Ответ дал:
0
a:=(1+y)*(x+y/(x*x+4))/(EXP(-x-2)+1/(x*x+4))
Вас заинтересует
2 года назад
7 лет назад
7 лет назад
9 лет назад