• Предмет: Математика
  • Автор: kuznetsova3007
  • Вопрос задан 9 лет назад

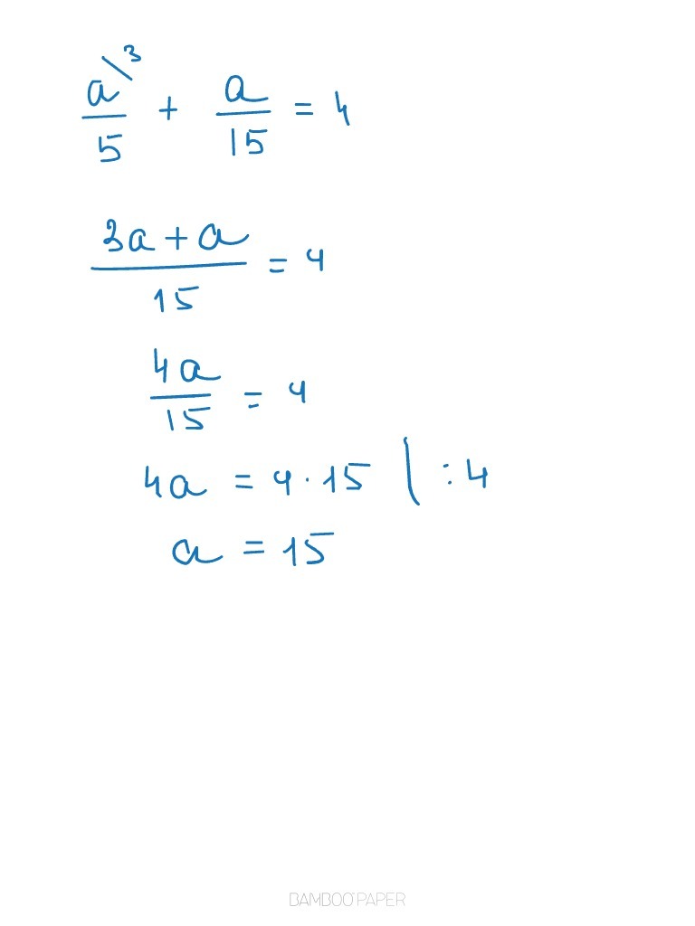
при каком натуральном значение a значение выражения a/5+a/15 равно 4? заранее спасибо!

Ответы

Ответ дал: 000Queen000
0
15/5+15/15= 45/15+15/15= 60/15= 4/1= 4
Ответ. а=15
Ответ дал: KseniaHarlequin
0
Решение данного задания
Приложения:
Вас заинтересует