• Предмет: Алгебра
  • Автор: Аноним
  • Вопрос задан 9 лет назад

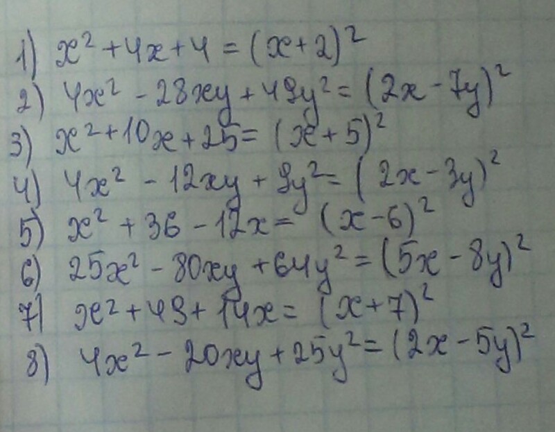
Представьте трехчлен в виде квадрата два члена:
1) х^2+4х+4
2) 4х^2-28ху+49у^2
3) х^2+10х+25
4) 4х^2-12ху+9у^2
5) х^2+36-12х
6) 25х^2-80ху+64у^2
7) х^2+49+14х
8) 4х^2-20ху+25у^2

Ответы

Ответ дал: Nastulka12NS
0
Решила все задания. Не забудь сделать этот ответ лучшим))
Приложения:
Вас заинтересует