• Предмет: Математика
  • Автор: Аноним
  • Вопрос задан 9 лет назад

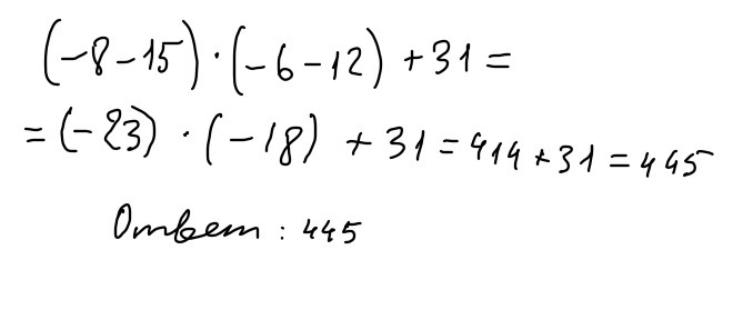
(-8-15)(-6-12)+31 пожалуйста!!!!!!!!!!!!

Ответы

Ответ дал: Scionrus
0
Решение данного задания
Приложения:
Ответ дал: wikusjaws
0
-23•(-18)+31=445
Вас заинтересует