Ответы
Ответ дал:
0
Ваше задание выполнено!!Ответ с подробным решением находится во вложении!!Если не трудно, отметь как лучшее решение:)
Приложения:

Ответ дал:
0
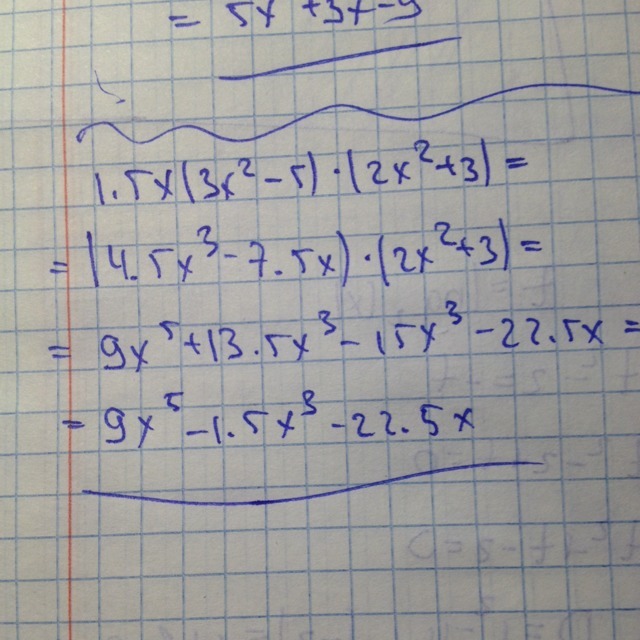
=1.5x(6x^4+9x^2-10x^2-15)=1,5x(6x^4-x^2-15)=9x^5-1,5x^3-22,5
Приложения:

Вас заинтересует
2 года назад
2 года назад
7 лет назад
9 лет назад
10 лет назад
10 лет назад