Ответы
Ответ дал:
0
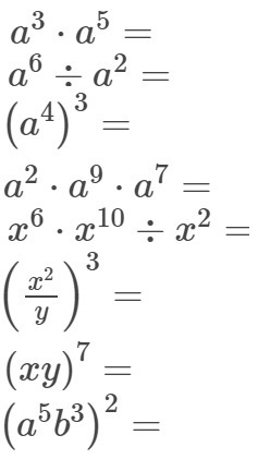
1)а³*а⁵=а⁸
2)а⁶:а²=а⁴
3)(а⁴)³=а¹²
4)а²*а⁹*а⁷=а¹⁸
5)х⁶*х¹⁰:х²=х¹⁴
6)
=
7)(ху)⁷=х⁷у⁷
8)(а⁵b³)²=a¹⁰b⁶
Я думаю, что так. Надеюсь, что помогла:з
2)а⁶:а²=а⁴
3)(а⁴)³=а¹²
4)а²*а⁹*а⁷=а¹⁸
5)х⁶*х¹⁰:х²=х¹⁴
6)
7)(ху)⁷=х⁷у⁷
8)(а⁵b³)²=a¹⁰b⁶
Я думаю, что так. Надеюсь, что помогла:з
Вас заинтересует
2 года назад
7 лет назад
7 лет назад
10 лет назад