Ответы
Ответ дал:
0
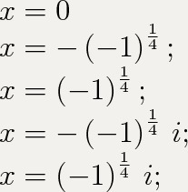
х=0
х=(-1) 1/4
вот правильный ответ
х=(-1) 1/4
вот правильный ответ
Приложения:

Ответ дал:
0
x^2+4+x^2=0
x^2+x^2=-4
2x^2=-4
x^2=-2
x=2
x^2+x^2=-4
2x^2=-4
x^2=-2
x=2
Приложения:

Вас заинтересует
2 года назад
7 лет назад
9 лет назад
9 лет назад