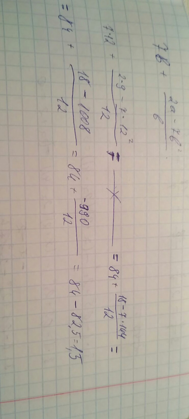
Упростите выражение 7b+ дробь 2а-7b²/b,найдите его значение при a=9,b=12.в ответе запишите полученное письмо
Ответы
Ответ дал:
0
вот правильный ответ
Удачи!!)
Удачи!!)
Приложения:

Вас заинтересует
2 года назад
7 лет назад
9 лет назад
10 лет назад
10 лет назад