• Предмет: Математика
  • Автор: alnatemerva
  • Вопрос задан 9 лет назад

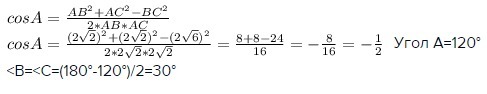
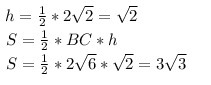
Найдите угол периметр и площадь треугольника вершинами которого являются точки A (1 ;-1; 3) В( 3 ;-1; 1)С( -1 ;1;3)

Ответы

Ответ дал: wilsandy
0

ฅ•ω•
Мяу, хорошего вечера

Приложения:
Ответ дал: wilsandy
0
http://savepic.net/9108924.htm
Вас заинтересует