Ответы
Ответ дал:
0
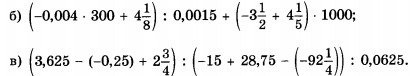
б) (–0.004*300 + 4.125):0.0015 + (–3.5 + 4.2)*1000 = (–1.2 + 4.125):0.0015 + 0.7*1000 = 2.925:0.0015 + 700 = 1950 + 700 = 2650.
в) (3.625 + 0.25 + 2.75):(13.75 + 92.25):0.0625 = 6.625:106:0.0625 = 1.
в) (3.625 + 0.25 + 2.75):(13.75 + 92.25):0.0625 = 6.625:106:0.0625 = 1.
Вас заинтересует
3 года назад
3 года назад
7 лет назад
7 лет назад
10 лет назад
10 лет назад
10 лет назад
10 лет назад