c#
помогите пожалуйста решить индивидуальное задание по c#
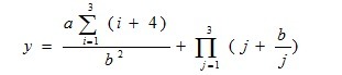
напишите весь код

Приложения:

Ответа на этот вопрос пока нет. Попробуйте найти его через форму поиска.

Вас заинтересует