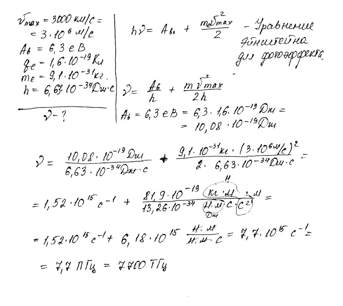
Какой частоты свет мледует направить на поверхность платины, чтобы максимальная скорость фотоэлектронов была равна 3000 км/с ? работа выхода для платины раван 6,3 эВ.
Ответы
Ответ дал:
0
Задача на использование уравнение Эйнштейна для фотоэффекта.
Решение прилагается.
Приложения:

Вас заинтересует
2 года назад
2 года назад
8 лет назад
10 лет назад
10 лет назад