• Предмет: Математика
  • Автор: sdatd
  • Вопрос задан 9 лет назад

1.Постройте график функции
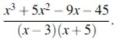
2.сократите дробь

Приложения:

Ответа на этот вопрос пока нет. Попробуйте найти его через форму поиска.

Вас заинтересует