Ответы
Ответ дал:
0
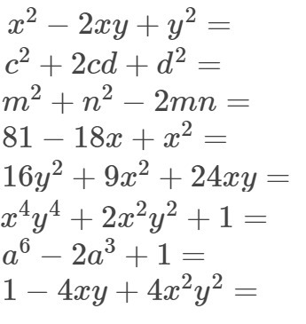
1. (х-у)²
2.(с+d)²
3. (m-n)²
4.(9-x)²
5. (4у+3х)²
6.(х²у²+1)²
7. (а³-1)²
8.(1-2ху)²
2.(с+d)²
3. (m-n)²
4.(9-x)²
5. (4у+3х)²
6.(х²у²+1)²
7. (а³-1)²
8.(1-2ху)²
Вас заинтересует
2 года назад
7 лет назад
7 лет назад
10 лет назад
10 лет назад
10 лет назад