• Предмет: Математика
  • Автор: nlevin
  • Вопрос задан 9 лет назад

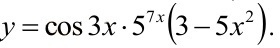
Помогите, пожалуйста найти производные.

Приложения:

Ответа на этот вопрос пока нет. Попробуйте найти его через форму поиска.

Вас заинтересует