• Предмет: Алгебра
  • Автор: blackrose1998
  • Вопрос задан 9 лет назад

Помогите, пожалуйста

Приложения:

Ответы

Ответ дал: LFP
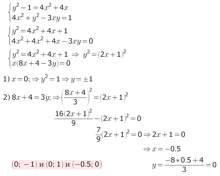
0
удобно из первого уравнения y² выразить и подставить во второе уравнение)) и увидеть формулу-полный квадрат...
Приложения:
Вас заинтересует