• Предмет: Алгебра
  • Автор: topwkolnik
  • Вопрос задан 9 лет назад

(100Баллов):Решите уравнения с помощью СИСТЕМ:
1) sqrt{x^2+x} =  sqrt{1-x}
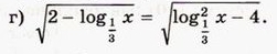
2)см. на фото;
3)см. на фото;

Приложения:

Ответы

Ответ дал: irinan2014
0
Все решения даны на фото.
Приложения:
Вас заинтересует