Помогите решить уравнения пожалуйста!!!
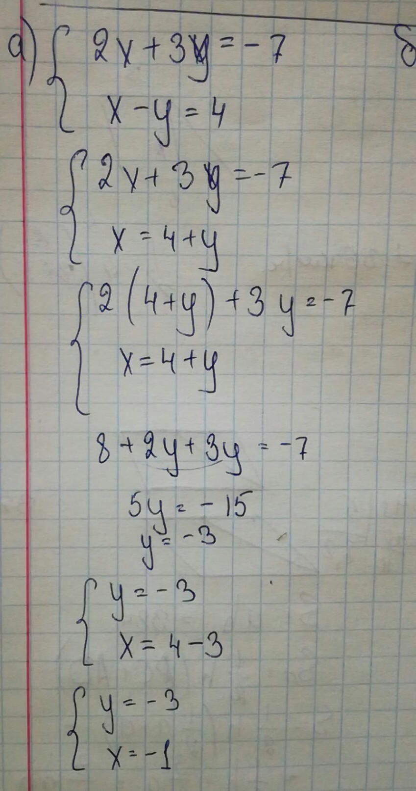
Способом подстановки:
2x+3y=-7
x-y=4
Способом сложения:
1)x-2y=8
x-3y=6
2)8x+2y=11
6x-4y=11
Ответы
Ответ дал:
0
а насчет второго задания ,я точно не знаю потому что там должны сократиться либо х либо у ,а в данном случае такое восможно только при вычитании
Приложения:

Вас заинтересует
2 года назад
7 лет назад
9 лет назад