• Предмет: Математика
  • Автор: darinalutfulla
  • Вопрос задан 9 лет назад

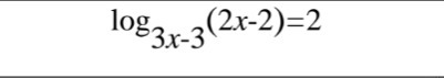
Помогите пожалуйста решить логарифмическое уравнение

Приложения:

Ответы

Ответ дал: gezefefaxi
0
x=11/9 вот тебе и ответ
Ответ дал: darinalutfulla
0
Можно пожалуйста полное решение?
Вас заинтересует