• Предмет: Математика
  • Автор: ilovemybook
  • Вопрос задан 9 лет назад

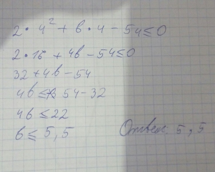
при каком наибольшем значении ''b'' число 4 будет принадлежать множеству решений неравенства 2х²+bx-54≤0

Ответы

Ответ дал: orhan1
0
Там нужно было всего лишь вместо икса подставить 4 и все
Приложения:
Вас заинтересует