• Предмет: Алгебра
  • Автор: МуслимаКаримова
  • Вопрос задан 9 лет назад

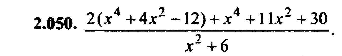
РЕШИТЕ ОЧЕНЬ ЛЁГКИЙ ПРИМЕР, ПОЖАЛУЙСТА!

Приложения:

Ответы

Ответ дал: ixorlive
0
3x^4+19x^2+6/x^2+6=3x^2 + 1
Приложения:
Ответ дал: МуслимаКаримова
0
Спасибо
Вас заинтересует