Ответы
Ответ дал:
0
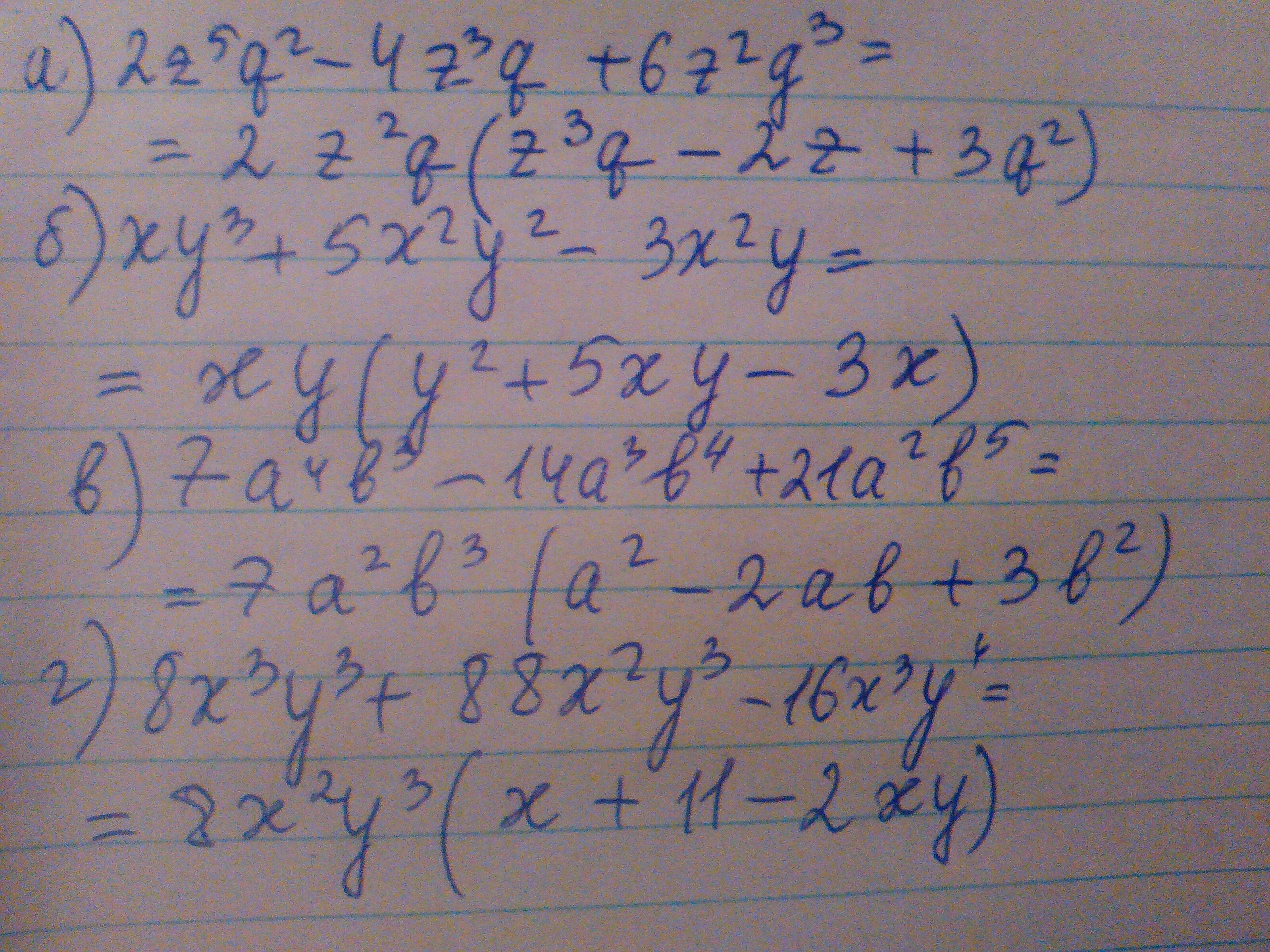
Ответы прикреплены в файле
Приложения:

Ответ дал:
0
Ты просто выносишь за скобку все, что есть общее у всех слагаемых
Приложения:

Ответ дал:
0
Можете пожалуйста мне объяснить 1-й пример , а то я не пойму , степени вычитаем ?
Ответ дал:
0
Да, вычитаем
Вас заинтересует
2 года назад
2 года назад
7 лет назад
9 лет назад
9 лет назад
10 лет назад