• Предмет: Алгебра
  • Автор: raxilyashabano
  • Вопрос задан 9 лет назад

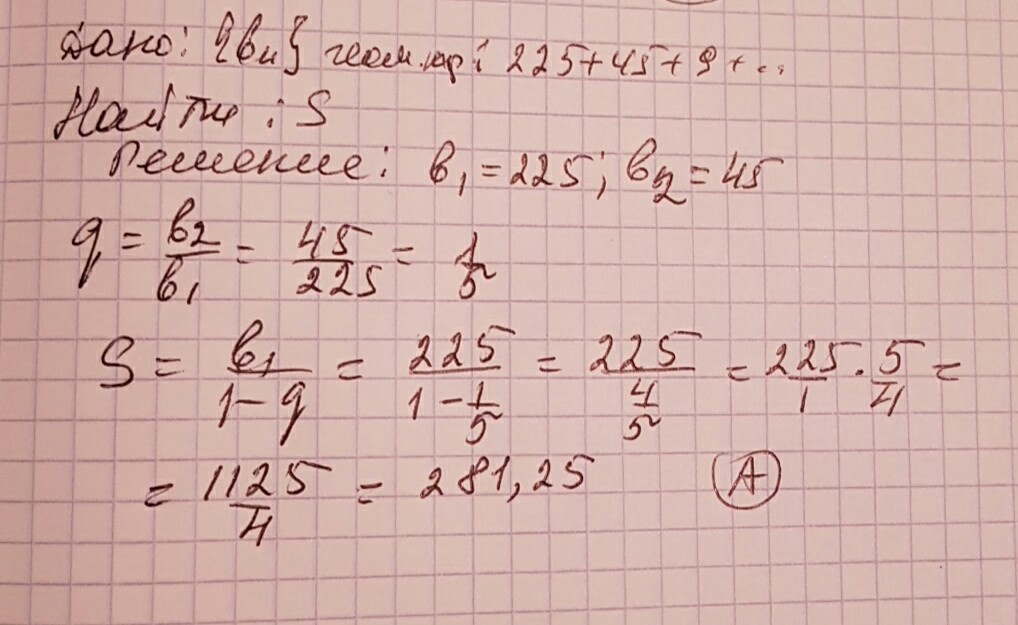
Найдите сумму в прогрессии на фото,с решением

Приложения:

Ответы

Ответ дал: подкожного
0
решение задания смотри на фотографии
Приложения:
Ответ дал: подкожного
0
пожалуйста,и спасибо за оценку
Вас заинтересует