Ответы
Ответ дал:
0
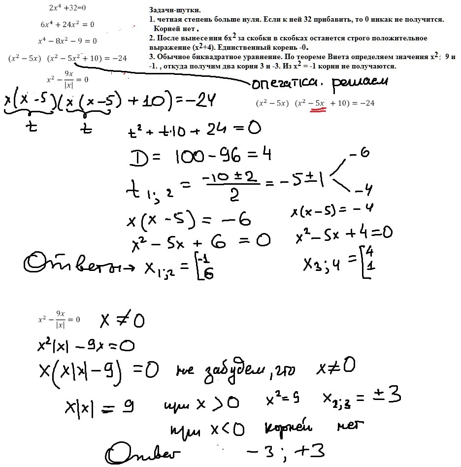
В четвертой задаче опечатка.
Сообщи, откуда задачи.
Две последние в какой-то степени интересны
Сообщи, откуда задачи.
Две последние в какой-то степени интересны
Приложения:
Вас заинтересует
2 года назад
7 лет назад
7 лет назад
10 лет назад
10 лет назад
10 лет назад