Ответы
Ответ дал:
0
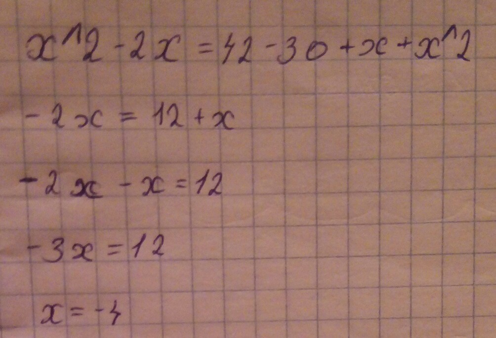
x^2 - 2x = 42 - 30 + x + x^2
- 2x = 12 + x
- 2x - x = 12
- 3x = 12
x = - 4
- 2x = 12 + x
- 2x - x = 12
- 3x = 12
x = - 4
Ответ дал:
0
вот думаю правильно.......
Приложения:

Ответ дал:
0
вадрат
Вас заинтересует
2 года назад
2 года назад
7 лет назад
9 лет назад
9 лет назад
10 лет назад